Después de comprar varias residencias –que, de concretarse una más, le habrán costado $2 millones– y un local comercial en David, Chiriquí –de $420 mil–, la exfuncionaria de la Contraloría Odila Castillo continuó con su obsesiva adquisición de inmuebles. Esta vez en el PH Spotlight, en la avenida Ricardo J. Alfaro –detrás de la sede del Sindicato de Industriales de Panamá–, así como de sus nuevas oficinas en Costa del Este.
El PH Spotlight fue construido por Promotora Linda Vista, S.A. Esta sociedad fue creada en 2015 y su presidente es el empresario Carlos Allen Arosemena, quien ha presidido en dos ocasiones la Cámara Panameña de la Construcción (Capac). En esa promotora también figura como secretario Gabriel Diez Montilla, quien, a su vez, fue parte de la junta directiva de la Capac en las dos ocasiones en que el gremio fue presidido por Allen.
Allen Arosemena es cliente de Odila Castillo. Tambien es proveedor del Estado a través de su empresa Transeq, S.A., que cuenta con contratos –obtenidos individualmente y en consorcio– que suman unos $150 millones en el Ministerio de Obras Públicas (MOP). La empresa tiene otro contrato con el Instituto de Acueductos y Alcantarillados Nacionales (Idaan), por cerca de $20 millones, más el coste de financiamiento, y finalizó –en consorcio– la construcción de un hospital en Colón.
Casa del jabonero
Castillo adquirió 11 apartamentos en el PH Spotlight, cada uno valorado en unos $200 mil, de los cuales 10 tienen escritura de compra el mismo día: 27 de noviembre de 2023. Todos están a nombre de una sociedad denominada Cartoon World, S.A. En suma, se trata de una adquisición de más de $2 millones.
El undécimo apartamento fue comprado este año —el 18 de marzo— a nombre de la firma Castillo, Guardia & Asociados Abogados, por $152 mil.

Los apartamentos en el PH Spotlight —al igual que el local que Castillo tiene en el Federal Mall, en David, Chiriquí— fueron todos hipotecados a favor de una sociedad que también preside Castillo: Administradores Hipotecarios de Panamá, S.A., a razón de $500 mil cada uno, para un total de $5 millones en hipotecas.
La sociedad propietaria de los apartamentos —Cartoon World— fue creada un año antes de las adquisiciones, en enero de 2023, y su presidenta es Odila Castillo; su madre, María Bonilla, es la tesorera, y su socia, Judith Guardia, la secretaria.
El mejor año
¿Cómo fue posible que este cuento de hadas, ideado por una exfuncionaria de la Contraloría, se hiciera realidad?
El bufete de Castillo tuvo su mejor año en 2023.
Palacios Vásquez y Asociados pasó a llamarse Castillo, Guardia y Asociados. Con el nuevo nombre, sus ingresos se dispararon. En 2022, ingresó $2 millones, pero en 2023 trepó a $10.8 millones, según se aprecia en documentos que revisó La Prensa.

Las utilidades del bufete fueron de $4.8 millones, suma que Castillo recibió casi en su totalidad. A su socia Judith Guardia le tocaron $138,000.
En 2023, también hubo cambio de contadores. El bufete y la propia Castillo contrataron a la firma CSI Audit, que tiene entre sus socios principales a Elí Cabezas Justavino, próximo subcontralor de la República a partir de enero de 2025. Anel Bolo Flores reemplazará al actual contralor Gerardo Solís.

Nuevas oficinas
Castillo también adquirió cuatro locales comerciales en Costa del Este para —como ella misma dice— “hacer realidad el sueño de desarrollar por primera vez en Panamá la primera firma única y exclusivamente especializada en contratación pública y temas afines”.
Son los locales 31A, 31B, 31C y 31D, cuyas superficies suman unos 450 metros cuadrados, en el PH Costa del Este Financial Park (CEFP).
Los locales estaban a nombre de Inversiones CEFP 31, S.A., que originalmente los compró por $632 mil. Odila Castillo los obtuvo ahora, pero se desconoce cuánto pagó por estas oficinas. La compraventa se habría completado el 3 de julio de 2024, cuando la sociedad inscribió en el Registro Público una reunión de accionistas –celebrada el pasado 27 de junio pasado– en la que Castillo tomó los roles de presidenta y representante legal de la sociedad. Su madre, María Bonilla, fue designada secretaria, y su socia, Judith Guardia, tesorera.

También hubo un cambio de agente residente, cargo que recayó en la firma Alianza Legal Corporativa, creada en septiembre de 2022, y entre cuyos socios se encuentra el abogado Darío Carrillo Gomila, que, además figura en otra firma, llamada C & C Abogados —creada en abril de este año— en la que son socios, además de Carrillo Gomila, los abogados Rafael Carrillo San Martín, Odila Castillo y Judith Guardia.
Extravagancias
Castillo lleva una vida llena de excentricidades, reflejadas en sus compras y sus cuentas bancarias, incluidas las que tiene o tuvo en bancos estatales. En Chanel gastó $33,500 y en Dior, $54,000. También hizo compras por $22,500 en Distribuidora Maduro y por $8,000 en Valentino. A Ebanistería y Acabados HSI le pagó $100,000.

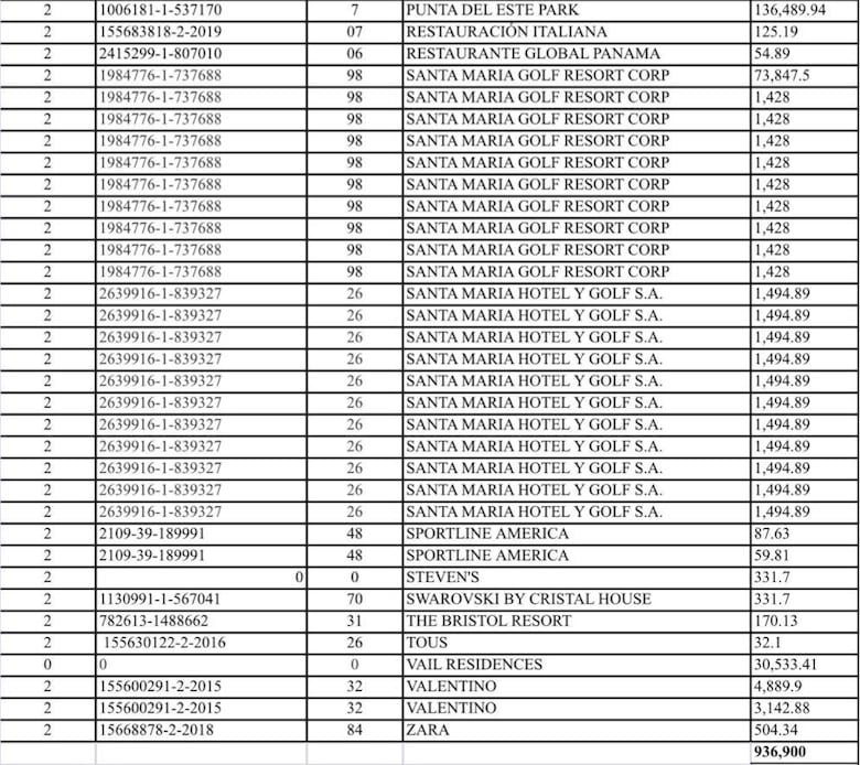
Probablemente haya comprado mercancía para su boutique en el Federal Mall, en David, aunque su especialidad es la marca Melissa. Castillo también parece ser miembro de un club de golf: el Santa María Golf Resort Corp., al que hizo un solo desembolso de $73,847.50, y desde entonces paga mensualmente casi $1,500.
Viajes a la nieve
Esas compras con tarjetas de crédito incluyen además, el pago parcial de vacaciones para ir a esquiar estaciones como la de Vail, Colorado. Hizo un solo tarjetazo por $30,533.41 para costear el alojamiento. Son, al menos, dos viajes, sin mencionar los que ha hecho a Las Vegas, Nevada, para asistir a conciertos junto a sus compadres.

Castillo compartió en redes unas fotografías en el hotel en Vail en el que se hospedó, ataviada con ropa de invierno de una costosa marca (Ogier, que se anuncia como “la mejor ropa de esquí del mundo”), cuyos modelos se venden en solo siete boutiques en todo el mundo, una de ellas ubicada precisamente en esta estación de esquí. Hay otra cerca de allí, en Aspen. Esas dos tiendas son las únicas existentes en el continente americano.
Y si no es la “mejor ropa” de esquiar, sí está entre las más costosas. Un par de botas, como las que luce Castillo en la fotografía, ronda los $3,000, mientras que los guantes que lleva cuestan unos $1,800. Un jacket de esquiar similar al que modela puede alcanzar los $4,000, y un pantalón, entre unos $2,000 y $3,000.
¿Los promotores y vendedores de estos aptos realizaron las debidas diligencias para garantizar que los dineros de la exfuncionaria fuesen lícitos?
— Juan Diego Vásquez (@JDVasquezGut) September 26, 2024
En Panamá lamentablemente hay MUCHA corrupción, pero es de funcionarios, exfuncionarios y empresarios. Todos deben rendir cuentas. https://t.co/tnAyLX3MFe
¿Con quiénes ha coincidido Castillo en sus viajes de placer? La información será suministrada en una próxima nota.

